您好,欢迎来到上海申锐测试设备制造有限公司官方网站!
产品中心
products
产品中心
SRGM-2019灌砂法密度试验仪 不锈钢

SRGM-2019灌砂法密度试验仪 不锈钢
产品说明

一、概述

       灌砂法密度试验仪用于测定原位土的密度和对填方工程进行施工质量控制。本仪器为本公司独家设计并生产制造,经过多次更新换代,听取了多个权威检测机构及院校专家的改进意见,现如今的设计能够稳定、便捷地按照现行标准进行试验,得到广大用户的一致认可。

二、符合标准

       GB/T50123-2019《土工试验方法》;

       SL237-041-1999《土工试验规程-原位密度试验》;

       JTS237-2017《水运工程地基基础试验检测技术规程》

三、技术参数

     1、漏斗上口直径宜为200mm,下口直径宜为15mm,高宜为110mm;

     2、防风筒直径宜为300mm,高宜为220mm;

     3、量器直径宜为150mm~270mm,高宜为200mm~330mm;

四、试验方法

2.1     仪器设备

     2.1.1 灌砂法密度试验仪,见图2.1.1包括漏斗、漏斗架、防风筒、套环、量器,附有3个固定器。

     2.1.2 台秤:称量10kg,分度值5g;称量50kg,分度值10g。

     2.1.3 量砂:粒径0.25~0.5mm干燥清洁标准砂10~40kg。

     2.1.4 其他:量砂容器(有盖)、直尺、铲土工具等。

2.2    仪器设备的检定和校准

     2.2.1 台秤:应按相应的检定规程进行检定。

     2.2.2 量砂:应按本规程“附a”要求制备,并校准其密度。

2.3    操作步骤(用套环)

     2.3.1面积约40cm×40cm的一块地面铲平。检查填土压实密度时,应将表面未压实土层清除掉,并将压实土层铲去一部分(其深度视需要而定),使试坑底能达到规定的深度。   

     2.3.2 秤盛量砂的容器加量砂质量。按图2.1.1所示,将仪器放在整平的地面上,用固定器将套环固定。开漏斗阀,将量砂经漏斗灌入套环内,待套环灌满后,拿掉漏斗、漏斗架及防风筒(无风可不用防风筒),用直尺刮平套环上砂面,使与套环边缘齐平。将刮下的量砂细心倒回量砂容器,不得丢失。称量砂容器加第1次剩余量砂质量。

     2.3.3 将套环内的量砂取出,称量,倒回量砂容器内。环内量砂允许有少部分仍留在环内。

图2.1.1  灌砂法密度试验仪

1—漏斗;2—漏斗架;3—防风筒;4—套环

表2.3.4 试坑尺寸与相应的最大粒径

试样最大粒径(mm)

试坑尺寸

直径(mm)

深度(mm)

5(20)

150

200

40

200

250

60

250

300

200

800

1000

     2.3.4 在套环内挖试坑,其尺寸大致如表2.3.4。

        挖坑时要特别小心,将已松动的试样全部取出。放入盛试样的容器内,将盖盖好,称容器加试样质量,并取代表性试样,测定含水率。

     2.3.5 在套环上重新装上防风筒、漏斗架及漏斗。将量砂经漏斗灌入试坑内,量砂下落速度应大致相等,直至灌满套环。

     2.3.6 取掉漏斗、漏斗架及防风筒,用直尺刮平套环上的砂面,使与套环边缘齐平。刮下的量砂全部倒回量砂容器内,不得丢失。称量砂容器加第2次剩余量砂质量。

注:量砂的湿度发生变化或混有杂质时,应充分风干过筛后再可使用;试坑中有较大孔隙时,量砂可能进入,应按试坑外形,松弛地放入一层柔软的纱布,然后再进行灌砂。

2.4     操作步骤(不用套环)

     2.4.1 按本规程2.3.1的规定准备试验地点,在刮平的地面上按本规程表2.3.4规定挖坑。

     2.4.2 称盛量砂容器加量砂质量,在试坑上放置防风筒和漏斗,将量砂经漏斗灌入试坑内,量砂下落速度应大致相等,直至灌满试坑。

     2.4.3 试坑灌满量砂后,去掉漏斗及防风筒,用直尺刮平量砂表面,使与原地面齐平,将多余的量砂倒回量砂容器,称量砂容器加剩余量砂质量。

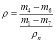
2.5    计算

     2.5.1 按下列两式计算湿密度及干密度。

      1 用套环法:

                (2.5.1—1)

   2 不用套环法:

                                                     (2.5.1—2)

式中   ρ ——湿密度,g/cm3

           m1——量砂容器加原有量砂质量,g;

           m2——量砂容器加第1次剩余量砂质量,g;

           m3——从套环中取出的量砂质量,g;

           m4——试样容器加试样质量(包括少量遗留砂质量),g;

           m5——量砂容器加第2次剩余量砂质量,g;

           m6——试样容器质量,g;

           m7——量砂容器加剩余量砂质量,g;

          ρn——往试坑内灌砂时量砂的平均密度,g/cm3

         ρn'——挖试坑前,往套环内灌砂时量砂的平均密度,g/cm3。计算至0.01g/cm3

注:经量砂密度校验证明ρn与ρn'相差很小时,式中ρn'可用ρn代替。

     2.5.2 按式(2.5.2)计算干密度:

                                                      (2.5.2)

式中     ρd——干密度,g/cm3

                       ω——含水率,%;

         其余符号见本规程(2.5.1)。

         计算至0.01 g/cm3

     2.5.3 本试验需进行2次平行测定,取其算术平均值。

<返回>
上海申锐测试设备制造有限公司 版权所有(C)2021 网络支持 中国化工网 全球化工网 生意宝 网盛建站 著作权声明 沪ICP备16004546号